| Sign In | Join Free | My portofva.com |
|
Place of Origin : China
Brand Name : YINDA
Certification : API 7K
Model Number : Triplex Mud Pump
MOQ : 1
Price : USD/CNY
Packaging Details : Plywood case / Iron plate
Delivery Time : In stock
Payment Terms : T/T 30%DP, Balance before delivery
Supply Ability : In stock
Usage : drill rig
Application : Conveying mud and flushing fluids
Structure : Piston Pump
Standard or nonstandard : Standard
Type : Mud Pump
Product name : Mud Pump
Oem : Applicable
Condition : new
Clutch BJS385-135-233A mud pumps for drilling rigs.
Clutch BJS385-135-233A Compared with CL type straight tooth coupling, drum type coupling has the advantages of compact structure, small turning radius, large bearing capacity, high transmission efficiency, low noise and long maintenance cycle.
Clutch BJS385-135-233A , GICL, giicl series drum gear couplings are especially suitable for low-speed and heavy load conditions, such as metallurgy, mining, hoisting and transportation industries, as well as the shafting transmission of various kinds of machinery such as petroleum, chemical, general machinery, etc.
A clutch is a mechanical device which engages and disengages power transmission especially from driving shaft to driven shaft.
In the simplest application, clutches connect and disconnect two rotating shafts (drive shafts or line shafts). In these devices, one shaft is typically attached to an engine or other power unit (the driving member) while the other shaft (the driven member) provides output power for work. While typically the motions involved are rotary, linear clutches are also possible.
In a torque-controlled drill, for instance, one shaft is driven by a motor and the other drives a drill chuck. The clutch connects the two shafts so they may be locked together and spin at the same speed (engaged), locked together but spinning at different speeds (slipping), or unlocked and spinning at different speeds (disengaged).
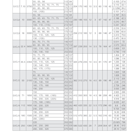
Drum Gear Coupling
· Model: GⅡCL Type
· Norminal Torque: 0.4kN. M - 4500kN. M
· Allowed Rotation Speed: 4000rpm - 460rpm
· Connection: Keyway & Shaft hole
· Shaft Hole Diameter: 16mm - 1040mm
· Shaft Hole Length (Y): 42mm - 1000mm
· Applications: Metallurgy, mining, lifting and transportation industries, petroleum, chemical, general machinery and other heavy machinery shaft drive.
GIICL-type drum gear coupling sealed end is integrated type, the tooth space width is small, the allowable radial displacement is small, compact structure, small inertia, and can connect Y, J1-type shaft hole.




Drum-type Gear Coupling Features (compared with the straight-type coupling):
1. High carrying capacity
The bearing capacity of the drum-type gear coupling is 15 to 20% higher than that of the straight-type coupling in the same outer diameter and the maximum outer diameter of the coupling.
2. Large angular displacement compensation
When the radial displacement is equal to zero, the allowable angular displacement of the straight-tooth coupling is 1°, but the allowable angular displacement of the drum gear-type coupling is 1°30", 50% increased. With the same modulus, tooth number, tooth width, the allowable angular displacement of the drum teeth is larger than of the straight teeth.
3. Drum-type gear surface has improved the internal and external contact conditions, which avoids the drawbacks of angular displacement of the mandibular tooth edge extrusion and stress concentration, in the meanwhile improves the tooth surface friction, wear conditions, reducing noise, long maintenance cycle.
4. The tooth end of outer teeth set is horn shape, so that the internal and external tooth assembly and disassembly is very convenient.
5. Transmission efficiency is up to 99.7%.

| Usage: | Drill Rig | Application: | Conveying Mud And Flushing Fluids |
|---|---|---|---|
| Structure: | Piston Pump | Standard Or Nonstandard: | Standard |
| Type: | Mud Pump | Product Name: | Mud Pump |
| Oem: | Applicable | Condition: | New |
Mud Pump Parts Model We Can Do
| BOMCO | F-500 | F-800 | F-1000 | F-1300 | F-1600 | F-1600HL | F-1600L | F-2200HL |
| Hong Hua | HHF-500 | HHF-800 | HHF-1300 | HHF-1600 | 3NB-1600F | 5NB-1600 | 5NB-2400 |
|
| HRSB | RSF-1300 | RSF-1600 |
| |||||
| RG | RGF-800 | RGF-1000 | RGF-1300 | RGF-1600 |
| |||
| Lanzhou | 3NB1000C | 3NB1300C | 3NB1600F | 3NB1600L |
|
|
|
|
| EMSCO | F-500 | F-800 | F-1000 | F-1300 | F-1600 | FD-1000 | FC-2200 | FB-1300 |
| Gardner Denver | PAH | P7 | P8/9 | P10/11 |
|
|
|
|
| National | 7-P-50 | 8-P-80 | 9-P-100 | 10-P-130 | 12-P-160 | 14-P-200 | 14-P-220 |
|
| Oilwell | A-850-PT | A-1100-PT | A-1400-PT | A-1700-PT |
|
|
|
|
| TSC | WF-500 | WF-800 | WF-1000 | WF-1300 | WF-1600 | WF-2000 | WF-2200 |
|
| IDECO | T-500 | T-800 | T-1000 | T-1300 | T-1600 |
|
|
|
| RUSSIA | UNBT-1180L | UNBT-950A | UNB-600 |
|
|
|
|
FAQ
1) How can I place order?
A: You can contact us by email about your order details, or place order on line.
2) How can I pay you?
A: After you confirm our PI, we will request you to pay. T/T is the most usual ways we are using.
3) What's the order procedure?
A: First we discuss order details, production details. Then we issue you an PI for your confirmation. You will be requested to do pr-e paid full payment or deposit before we go into production. After we get the deposit, we start to process the order. We usually need 15-25 days if we don't have the items in stock. Before production has been finished, we will contact you for shipment details, and the balance payment. After payment has been settled, we start to prepare the shipment for you.
4) How do you take care when your clients received defective products?
A: replacement. If there are some defective items, we usually credit to our customer or replace in next shipment.
5) How do you check all the goods in the production line?
A: We have spot inspection and finished product inspection. We check the goods when they go into next step production procedure.
More customer view:42-EMSCO MUD PUMPS PARTS-yindapump.com.pdf
|
|
Clutch BJS385-135-233A Mud Pump Components GIICL Series Drum Gear Couplings Images |